Navigation aufklappen/zuklappen
Willkommen !
Veranstaltungen & Termine
Hochzeit in der Mühle
Neugestaltung Trauzimmer
Freie Trauung
NEU ! Lesungen / Kunst
Kindergarten Besuch 2025
Rosenmontag
Himmelfahrt / Vatertag
Frühlingsfest an der Mühle
Deutscher Mühlentag
Mühlenspektakel
Erntedankfest
Martini-Singen
Weihnachtsmarkt
Speckendicken-Essen
Mühlen-Café für Feiern mieten
Anfahrt
Kontakt
Links
Protokolle
Satzung
Impressum
Datenschutz
Mühlenverein Jemgum e.V.
Mühlenverein Jemgum e.V.
Willkommen !
Veranstaltungen & Termine
Hochzeit in der Mühle
Neugestaltung Trauzimmer
Freie Trauung
NEU ! Lesungen / Kunst
Kindergarten Besuch 2025
Rosenmontag
Himmelfahrt / Vatertag
Frühlingsfest an der Mühle
Deutscher Mühlentag
Mühlenspektakel
Erntedankfest
Martini-Singen
Weihnachtsmarkt
Speckendicken-Essen
Mühlen-Café für Feiern mieten
Anfahrt
Kontakt
Links
Protokolle
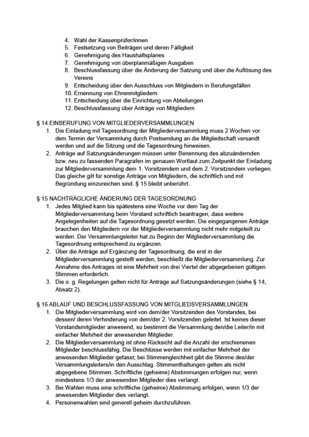
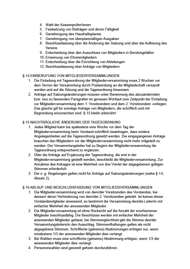
Satzung
Impressum
Datenschutz
"Vorab zur Einsichtnahme"